A Debate: Muchos Pocos vs. Pocos Muchos
Re: A Debate: Muchos Pocos vs. Pocos Muchos
Si bueno a eso me refería siempre hablando para coger minitendencias. Yo diría que hoy compensa muy poco, el intradia. un ejemplo es cogi 5/5 en una mañana en el euro. COn la entradas y objetivos correctos.
AL día siguiente falle 1, y me deshizo todo el trabajo. Simplemente porque ahi el precio esta muy manipulado. Para que va a generar una tendencia el mm o una institución si te metes en el carro. Sus algos van a parar el timing o te intenaran sacar.
AL día siguiente falle 1, y me deshizo todo el trabajo. Simplemente porque ahi el precio esta muy manipulado. Para que va a generar una tendencia el mm o una institución si te metes en el carro. Sus algos van a parar el timing o te intenaran sacar.
"En cada movimiento de un tick, el mundo se divide en ganadores y perdedores"
Re: A Debate: Muchos Pocos vs. Pocos Muchos
De acuerdo, por eso yo no opero las divisas y menos el eurusd por que me da la sensacion que esta muy manipulado y que es muy facil de manipular, por mucha liquidez que digan que tiene. Yo prefiero los indices, concretamente opero el cfddax. Aunque ultimamente esta regular.
Saludos
Saludos
El fin NO justifica los medios.
Re: A Debate: Muchos Pocos vs. Pocos Muchos
Con ratios 1/1 es imposible que una sola operacion de desbarate cinco operaciones ganadoras. Claro, si tienes un objetivo a 12 puntos y pones el stop a 30 pues es normal. Pero estabamos hablando de ratios de 1 o muy proximo a 1. Nuestros stop y prifit deben ser coherentes con la volatilidad diaria. Si un profit es coherente a 12 puntos y colocamos el stop por ejemplo a 30 o 40 puntos, está claro que ese stop está mal puesto, estamos dejando correr las perdidas o no aceptandolas.Delawer escribió:Si bueno a eso me refería siempre hablando para coger minitendencias. Yo diría que hoy compensa muy poco, el intradia. un ejemplo es cogi 5/5 en una mañana en el euro. COn la entradas y objetivos correctos.
AL día siguiente falle 1, y me deshizo todo el trabajo. Simplemente porque ahi el precio esta muy manipulado. Para que va a generar una tendencia el mm o una institución si te metes en el carro. Sus algos van a parar el timing o te intenaran sacar.
Saludos.
El fin NO justifica los medios.
Re: A Debate: Muchos Pocos vs. Pocos Muchos
EDITADO: por algunas erratas, etc.
Y este es un debate con ese prunto de partida bien centrado. Es el debate del tipo de estrategias / tácticas más interesantes, que a su vez se divide en dos debates: ¿más interesantes para quién?. Si no pagas comisiones y tuvieramos buenas posibilidades de latencia (no es nuestro caso), ¿a qué estábamos todos desarrollando sistemas HFT?. Y la otra opción es: no estamos en ese caso, ¿qué estrategias o tácticas interesan más "para nosotros"; MPs o PMs? .
O sea, centrando bien las premisas y el punto de partida hay varios debates debajo del "MPs vs PMs".
Gracias.
Con una táctica macro, digamos más bien; con un trading de larga posición, coges como dices unas pocas tendencias bien cogidas. Si están bien cogidas, esto te dará un buen rango de cada negocio. Vale, pero ¿y si comparamos ese rango con todo el recorrido que comprende?; pensaremos que..., claro, si fuera capaz de coger las subtendencias que hay..., ¡sacaría mucho más rango total!, o sea; se nos estaría ocurriendo que mejor que los pocos muchos serían más negocios de menos rango. Al final la suma, si conseguimos enganchar bien los negocios, sería bastante mayor. Y desde este punto de vista, volvemos a la casilla uno; pregunta: "¿gente, qué estrategias o tácticas interesan más MPs o PMs?.agmageton escribió:...
Y este es un debate con ese prunto de partida bien centrado. Es el debate del tipo de estrategias / tácticas más interesantes, que a su vez se divide en dos debates: ¿más interesantes para quién?. Si no pagas comisiones y tuvieramos buenas posibilidades de latencia (no es nuestro caso), ¿a qué estábamos todos desarrollando sistemas HFT?. Y la otra opción es: no estamos en ese caso, ¿qué estrategias o tácticas interesan más "para nosotros"; MPs o PMs? .
O sea, centrando bien las premisas y el punto de partida hay varios debates debajo del "MPs vs PMs".
Por eso, porque ente los varios debates, hay uno que es matemático puro; lo que se conoce como componer negocios con un mismo sistema; ¿componer más / menos, de qué depende, etc?.agmageton escribió:(por eso no entiendo que se desvíe a la matemática el debate)
Gracias.
https://wikmar.wordpress.com
Si quieres algo de privacidad, cuidado con las Nubes, que nadie ha conseguido todavía ponerles una puerta.
Si quieres algo de privacidad, cuidado con las Nubes, que nadie ha conseguido todavía ponerles una puerta.
Re: A Debate: Muchos Pocos vs. Pocos Muchos
Gratphil escribió:Perdonar volviendo a la parte matemática ...
Saludos
es que me ha parecido que has hecho todo un repaso al proceso de creación de valor en la operativa del trading, pero pretendiendo plantear cosas que en realidad no son tantas, y finalizando por volver al punto de partida.
Permíteme que lleve el último párrafo a continuación del primero, y te cuento. Además me da pie a rematar un asunto con Síntesis, que no sé si ha propiciado que diga que se olvida de la parte matemática por la que se interesó y trabajó, y quizá debo alguna explicación que voy a pagar como dice el alcalde de Bienvenido Mr. Marshal
A la primera parte, la de antes de los puntos, solo se me ocurre decir: "¿y?". El 1.000% compuesto 10 años equivale a un 27,1% anual durante los 10 años, y a un 0,066% diario en ese mismo periodo. Pa que veamos lo que solo un 0,066% cada día (incluyendo festivosGratphil escribió:Perdonar volviendo a la parte matemática no hay duda que lo ideal es maximizar la rentabildad compuesta equivalente, pongamos que anual.
Supongamos un sistema cuyo histórico son 10 años y ha conseguido una rentablidad total del 1000%.
Su rentabilidad anual vendría expresado como ra=((1+rt)^(1/10))-1=(1000%^0,1)-1=27,10%.
Para componer esta rentablidad anual y suponiendo que partimos de rentablidades diarias deberíamos obtener una rentabilidad diaria rd=(1+ra)^(1/365)-1= 0,066% aprox. O sea que obteniendo de forma diaria un 0,066% y aplicando la rentabilidad compuesta obtenemos un 27,10% anual que nos permitirá obtener un 1000% al cabo de 10 años.
..............
En cuanto a lo que comenta Roboco del mayor número de operaciones porque van al exponente, yo tengo mis dudas. Según esa teoría es mejor una operación al día que una a la semana. Dependerá de la media geométrica que pueda conseguir, si yo opero una vez a la semana y puedo conseguir de media una rentablidad del 0,5%, esta media es superior al 0,066% diaria que expuse más arriba. Al cabo de 10 años obtendría rt=((1+0,5%)^(52*10))-1= 1240% aprox. Además cuanto más intensivo sea en mi operativa tendremos más costes por lo que entiendo que una operativa swing tiene ventaja en este aspecto sobre la intradiaria.
Creo que luego quieres terminar de ver lo de la composición, y así remato algo.
En primer lugar, una aclaración, creo que en la línea de lo que esta pasando en el hilo: un sistema que opera una vez a la semana y consigue de media una rentablidad del 0,5% (semanal), es un sistema, y otro que da un 0,066% diario, es otro. No debemos compararlos mezclando debates.
Son dos sistemas distintos. Punto. Cada uno dará unos ratios de eficiencia debiendo haber considerado nuestr@s comisiones y deslizamientos. Los ratios dirán cuál es mejor, si descartamos alguno, etc. Y para el debate MPs vs PMs solo serán parte de una estadística de lo que hace gente homogenea, tipo nosotros.
Componer sí o no, hay que estudiarlo sobre el mismo sistema. Tenemos un sistema con expectativa i en un tiempo t, o lo que es equivalente en la formulación que estamos utiizando: en n periodos. ¿Nos conviene cortarle las ganancias y retomar posición añadiendo el beneficio materializado?. ¿Cuántas veces?. That's the question.
La forma de estudiarlo es a través del interés compuesto, peeeero, atención Síntesis también; hay que retocar la fórmula del interés compuesto para introducir la composición, que no está en n.
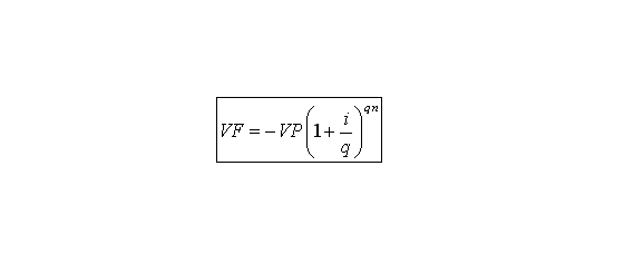
Si estamos operando el sistema semanal con una rentabilidad i por semana y queremos estudiar componerlo más o menos, i ya no es i, sino i/q, donde q es la cantidad de veces que se corta y retoma añadiendo los beneficios conseguidos. El exponente de la fórmula del interés compuesto, ya no es n, sino qn, que será la cantidad de veces total que se recalcula la expresión (en cada periodo n nos proponemos meter q trocitos).
Por tanto, la nueva fórmula de trabajo es:
(olvidaros del signo negativo según explicado y considerar VP como cantidad positiva)
Esa es nuestra expresión de trabajo. Con ella podemos hacer varias cosas como hacer su lim cuando q -> infinito. Como alguien puede dudar que el lim salga lo que puse, se puede meter esa expresión en una hoja de cálculo y ver los valores que va dando según aumenta q. Y se verá que la curva que sale es del tipo
Que quiere decir que componer (recordar bien lo que es) aumenta, mejora, el resultado, pero hasta un cierto punto a partir del cual no interesa. El punto hay que sacarlo para cada sistema con su perfil (i, nuestras comisiones, etc).
Si hacéis la hoja de cálculo veréis que numericamente, al componer sale más resultado que si no se compone, pero según se sigue componiendo, el resultado avanza poco, se estabiliza. Meterle caña a q, y cuando veáis que el resultado se ha estabilidado, calculad el valor que se dió como resultado simbólico del límite, y si coinciden, todo cuadrará.
La F óptima, aunque sea con un método numérico, ya está maximizada.Gratphil escribió: Ahora aplicado sobre un sistema que es por ejemplo la rentabilidad diaria, pues en nuestro caso la media geométrica diaria de los resultados de nuestro sistema. Como maximizamos esta media geométrica? Pues procurando maximizar los resultados medios por operación y siguiendo un fixed fractional el ratio f/R, donde f sería la fracción del riesgo de capital a arriesgar y R el factor de riesgo. Este resultado se maximizaría utilizando la F optima, pero a ver quien se atreve. Esta F optima no se calcula con una formula sino que es el resultado de realizar interacciones, aunque se relaciona directamente con el ratio de beneficios medios/perdidas medias y con el porcentaje de aciertos.
Aquí también hemos, o por lo menos he, sucumbido a un problema de indefinción.Gratphil escribió: R el factor de riesgo, que Roboco llamó L y lo asimiló a la máxima perdida por operación. Si analizas un sistema por operación y además L está definido por un stop loss, sin duda es la mejor medida del riesgo. Pero también puede haber slipages que manden al traste esa máxima perdida determinada por el stop loss. Ahora bien qué ocurre si no pones stop loss fijos (ojo no estoy a favor de no ponerlos) o analizas tu sistema para un determinado marco temporal, diario, semanal, mensual, etc. Ahí viene mi duda, porque se podría coger la peor operación del histórico, pero podría venir en el futuro una peor o la perdida media más x desviaciones estandar, también bastante incierto. Lo mejor tener mucho histórico y a la peor perdida añadirle una cantidad, calcular el fixed fraction para esa cantidad limitandolo a un DD máximo que podamos soportar y mejor obtener ese DD por Montecarlo con una determinada fiablidad.
Otra posibilidad podría ser olvidarnos de lo anterior y calcular los apalancamientos necesarios que nos permitan por un lado maximizar los beneficios sujeto a un máximo DD determinado también por Montecarlo. De esta forma hacemos lo mismo que con el fixed fractional pero me olvido de los componentes individuales (f y R) y determino mi riesgo por el DD.
Dijo , ROBOCO que "Lo de que alta probabilidad de acierto es mejor para el Money Management...es falso a medias. Hay otro factor mucho más importante que es la "máxima pérdida por operación" ".
Y lleva razón absolutamente por, a su vez, dos razones:
Primero porque decir que algo es "falso a medias" es dejarlo como verdadero y falso ¡a la vez! (como los mejores políticos
Y en segundo lugar, porque cierto es que para el método de MM que más maximiza resultados, la F óptima, la máxima pérdida es un factor crítico. Aunque, con otros sistemas de MM, esto no tiene porqué ser así, incluso con los que estén por descubrir / inventar.
Otro gran error que hemos cometido, creo yo, ha sido dejarnos mezclar Money Management con los incluso varios debates MPs vs PMs. El MM está en una capa distinta y superior a la eficiencia de los sistemas u operativas. Interviene nada en las conclusiones que se puedan sacar sobre composición, tipo de sistemas u operativas más eficientes, etc. Una vez tengas lo mejor que puedas en este último nivel, el de más abajo, el primero en darse en la operativa, que además es mucho más objetivo, (p. ej. donde hay matemática sin competencia, como en la composición, no caben varias interpretaciones), cabría plantearse discutir el MM, porque este sí va en gustos y en objetivos, pero no se debe mezclar con el análisis de operativas de base.
https://wikmar.wordpress.com
Si quieres algo de privacidad, cuidado con las Nubes, que nadie ha conseguido todavía ponerles una puerta.
Si quieres algo de privacidad, cuidado con las Nubes, que nadie ha conseguido todavía ponerles una puerta.
Re: A Debate: Muchos Pocos vs. Pocos Muchos
Buuuffff, Wikmar, de verdad, para ti la perra gorda. Si crees que esa fórmula que pones es "nuestra expresión de trabajo" lo llevas claro. No voy a polemizar sobre cosas que son evidentes, estás diciendo que 2+2=5 y además convencidísimo. Me gustaría ver dónde encajas en ella, la máxima pérdida por operación , la Esperanza matemática (porcentajed de aciertos, ratio Win/Loss, etc)...en fin. Y sobre todo, el pretender que la composición del retorno no genera una curva exponencial sino algo tipo logX o raiz X...no tiene ningún sentido, dale dos vueltas y tu mismo te deberías dar cuenta del error.
No lo entiendo, de verdad, a estas alturas del foro, es desolador.... No lo tomes a mal, es simplemente que lo he explicado, he puesto argumentos sin tener que poner una sóla fórmula (para que todo el mundo lo vea), pero por si acaso he aportado la bibliografía (académica.... de la que se considera conocimiento científico, donde algunos son hasta premios Nobel), a la que cualquiera puede acceder y donde se puede consultar lo que afirmo y tu sigues "erre que erre"...más no se puede hacer.
No lo entiendo, de verdad, a estas alturas del foro, es desolador.... No lo tomes a mal, es simplemente que lo he explicado, he puesto argumentos sin tener que poner una sóla fórmula (para que todo el mundo lo vea), pero por si acaso he aportado la bibliografía (académica.... de la que se considera conocimiento científico, donde algunos son hasta premios Nobel), a la que cualquiera puede acceder y donde se puede consultar lo que afirmo y tu sigues "erre que erre"...más no se puede hacer.
Re: A Debate: Muchos Pocos vs. Pocos Muchos
Wilkmar,
Creo que no has pillado por donde iba, porque no entiendo nada de lo que dices. Vamos a ver:
La primera parte del interés compuesto Vf=Vi(1+r)^n, nos sirve de introducción para explicar qué es r en un sistema de trading, que es la media geométrica de su ámbito temporal y esto es lo que debemos procurar maximizar y luego someterlo a restricciones de riesgo que el lo que nos va a hacer sentir comodos. Por lo tanto te falta un parrafo antes de los puntos suspensivos.
En cuanto a los del sistema diario o semanal, lo único que pretendo es que dos sistemas iguales en cuanto a nuestra restricción de riesgo dependerá de n y de la media geométrica que obtengamos, es decir puedo obtener una media geométrica con un sistema con operaciones de carácter semanal superior en terminos equivalentes a un sistema con operaciones de carácter diario, con lo cual el número de operacines no es determinante si al mismo tiempo no consideramos la media geométrica que pueden obtener.
Eso es así si los trocitos dentro de n los calculamos de forma lineal. ¿Para qué? calculemos de forma exponencial. Si los calculases así lo que tendrías sería una línea horizontal en el V.Final, dado que en el gráfico relacionas valor final y q. Si relacionases V. Final y n*q sería una función exponencial. No sé porque le das tanta relevancia a ese gráfico de relacionar Vf. y q si q lo puedes calcular de forma exponencial.
¿ ? No entiendo lo que quieres decir.
En cuanto a la F optima, no hay método de Money Mangement que supere en cuanto a resultados a la F optima, ni hoy ni nunca lo habrá.
Ahora bien, como decía a ver quien aguanta los riesgos que implica?, por tanto siempre cogeremos una fracción de esa F optima, la cual precisa para su cálculo mediante interacciones de la máxima perdida por operación.
Lo que sí es cierto es que al menos, bajo mi punto de vista, es mejor un sistema matematicamente cuanto mayor sea su F optima. También a igual definición de riesgo medido como DD obtenido por Montecarlo la rentabilidad es más alta en aquellos sistemas con mayor F optima.
Qué clase de sistemas tienen estas características? Los que dijo Roboco en un post anterior, los que tienen basicamente un mejor SQN.
Saludos
Creo que no has pillado por donde iba, porque no entiendo nada de lo que dices. Vamos a ver:
A la primera parte, la de antes de los puntos, solo se me ocurre decir: "¿y?". El 1.000% compuesto 10 años equivale a un 27,1% anual durante los 10 años, y a un 0,066% diario en ese mismo periodo. Pa que veamos lo que solo un 0,066% cada día (incluyendo festivos), puede dar en 10 añitos.
Creo que luego quieres terminar de ver lo de la composición, y así remato algo.
En primer lugar, una aclaración, creo que en la línea de lo que esta pasando en el hilo: un sistema que opera una vez a la semana y consigue de media una rentablidad del 0,5% (semanal), es un sistema, y otro que da un 0,066% diario, es otro. No debemos compararlos mezclando debates.
Son dos sistemas distintos. Punto. Cada uno dará unos ratios de eficiencia debiendo haber considerado nuestr@s comisiones y deslizamientos. Los ratios dirán cuál es mejor, si descartamos alguno, etc. Y para el debate MPs vs PMs solo serán parte de una estadística de lo que hace gente homogenea, tipo nosotros.
La primera parte del interés compuesto Vf=Vi(1+r)^n, nos sirve de introducción para explicar qué es r en un sistema de trading, que es la media geométrica de su ámbito temporal y esto es lo que debemos procurar maximizar y luego someterlo a restricciones de riesgo que el lo que nos va a hacer sentir comodos. Por lo tanto te falta un parrafo antes de los puntos suspensivos.
En cuanto a los del sistema diario o semanal, lo único que pretendo es que dos sistemas iguales en cuanto a nuestra restricción de riesgo dependerá de n y de la media geométrica que obtengamos, es decir puedo obtener una media geométrica con un sistema con operaciones de carácter semanal superior en terminos equivalentes a un sistema con operaciones de carácter diario, con lo cual el número de operacines no es determinante si al mismo tiempo no consideramos la media geométrica que pueden obtener.
Si estamos operando el sistema semanal con una rentabilidad i por semana y queremos estudiar componerlo más o menos, i ya no es i, sino i/q, donde q es la cantidad de veces que se corta y retoma añadiendo los beneficios conseguidos. El exponente de la fórmula del interés compuesto, ya no es n, sino qn, que será la cantidad de veces total que se recalcula la expresión (en cada periodo n nos proponemos meter q trocitos).
Por tanto, la nueva fórmula de trabajo es:
VF.GIF
Eso es así si los trocitos dentro de n los calculamos de forma lineal. ¿Para qué? calculemos de forma exponencial. Si los calculases así lo que tendrías sería una línea horizontal en el V.Final, dado que en el gráfico relacionas valor final y q. Si relacionases V. Final y n*q sería una función exponencial. No sé porque le das tanta relevancia a ese gráfico de relacionar Vf. y q si q lo puedes calcular de forma exponencial.
La F óptima, aunque sea con un método numérico, ya está maximizada.
¿ ? No entiendo lo que quieres decir.
En cuanto a la F optima, no hay método de Money Mangement que supere en cuanto a resultados a la F optima, ni hoy ni nunca lo habrá.
Ahora bien, como decía a ver quien aguanta los riesgos que implica?, por tanto siempre cogeremos una fracción de esa F optima, la cual precisa para su cálculo mediante interacciones de la máxima perdida por operación.
Lo que sí es cierto es que al menos, bajo mi punto de vista, es mejor un sistema matematicamente cuanto mayor sea su F optima. También a igual definición de riesgo medido como DD obtenido por Montecarlo la rentabilidad es más alta en aquellos sistemas con mayor F optima.
Qué clase de sistemas tienen estas características? Los que dijo Roboco en un post anterior, los que tienen basicamente un mejor SQN.
Saludos
Re: A Debate: Muchos Pocos vs. Pocos Muchos
Wikmar escribió:EDITADO: por algunas erratas, etc.
Con una táctica macro, digamos más bien; con un trading de larga posición, coges como dices unas pocas tendencias bien cogidas. Si están bien cogidas, esto te dará un buen rango de cada negocio. Vale, pero ¿y si comparamos ese rango con todo el recorrido que comprende?; pensaremos que..., claro, si fuera capaz de coger las subtendencias que hay..., ¡sacaría mucho más rango total!, o sea; se nos estaría ocurriendo que mejor que los pocos muchos serían más negocios de menos rango. Al final la suma, si conseguimos enganchar bien los negocios, sería bastante mayor. Y desde este punto de vista, volvemos a la casilla uno; pregunta: "¿gente, qué estrategias o tácticas interesan más MPs o PMs?.agmageton escribió:...
Y este es un debate con ese prunto de partida bien centrado. Es el debate del tipo de estrategias / tácticas más interesantes, que a su vez se divide en dos debates: ¿más interesantes para quién?. Si no pagas comisiones y tuvieramos buenas posibilidades de latencia (no es nuestro caso), ¿a qué estábamos todos desarrollando sistemas HFT?. Y la otra opción es: no estamos en ese caso, ¿qué estrategias o tácticas interesan más "para nosotros"; MPs o PMs? .
O sea, centrando bien las premisas y el punto de partida hay varios debates debajo del "MPs vs PMs".
Por eso, porque ente los varios debates, hay uno que es matemático puro; lo que se conoce como componer negocios con un mismo sistema; ¿componer más / menos, de qué depende, etc?.agmageton escribió:(por eso no entiendo que se desvíe a la matemática el debate)
Gracias.
Para mi el debate no es matemático, porque como dice ROBOCO ya hablamos de evidencias matemáticas de que es mejor y eso lo deberíamos tener claro...
Para mí el debate esta en que limites temporales nos movemos para que el sistema sea verdadero...y para mí ese debería ser el gran debate...
Imaginemos sistema 1º muchos pocos 200 operaciones años, ratios de composición sobre pendiente de resultados muy estable, a partir de 20 traders probabilidad ganancia 50%, 40 traders 55%, 60 traders 60%, 80 traders 65%, 100 traders 70%, 120 traders 75%, 140 traders 80%, 160 traders 85%, 180 traders 90% y 200 traders 95% probabilidad de ganancia.
Ahora lo único que cabe es que el sistema 1º sea verdadero como mínimo hasta un % de traders que lo haga ganador y ahí es donde esta el tema en cuestión....no en la matemática que lo que hace es seguir unas reglas lógicas
Si analizamos este sistema 1º y tenemos que en 5 años es verdadero menos del 60% del tiempo y por contra tenemos un sistema 2º de pocos muchos genera un estado verdadero el 90% del tiempo, aunque matemáticamente sea mucho mejor el 1º porque logre exponenciar la curva de capital mas rápidamente, en el transcurso de 5 años el 2º al tener mas tiempo como verdadero el sistema conseguirá mejores retornos ajustados al riesgo en el transcurso de esos 5 años.
Y para mi lo importante es eso que podemos esperar de uno y otro y como intentamos que ambos sean verdaderos el máximo tiempo posible, cual de ellos tendrá mas ventaja o si compensa la desventaja de uno con el otro por la maximización de la curva de capital... creo que ese debería ser el gran debate....
La entrada te da la probabilidad y la salida la rentabilidad...
Re: A Debate: Muchos Pocos vs. Pocos Muchos
Y para cerrar el magnífico post de Gratphil, que suscribo casi en su totalidad, el SQN es un buen ratio para el MM, dado que la f óptima (aunque es cierto que se halla por iteracciones) se puede aproximar por series de Taylor a algo parecido a Media/Varianza de la variable aleatoria (trades/perdida maxima por operación)...
Y esto es importante, así, sistemas con SQN alto implican f óptimas altas...sin embargo una f óptima alta NO implica un mayor Capital Final si a cambio tiene una máxima pérdida por operación alta...¡¡es el ratio f/L!! y como véis f está acotada entre 0 y 1 y L está en el denominador y no está acotada. Basta con que grafiquéis z=x/y con x acotada a [0,1] para que veáis cómo se comporta esa función y comprobaréis cómo la máxima pérdida por operación es un factor más importante que f (a la que si le afecta el % de aciertos) para componer el capital.
Capital Final=Capital Inicial*Productorio(1=1 hasta n)[1+(f/L)*Xi]
Siendo Xi la variable aleatoria de los resultados, f la fracción fija arriesgada del capital y L la pérdida máxima por operación.
Esto debería quedar zanjado de una vez.
Agma, tu planteas el debate en que los sistemas de alta frecuencia son menos robustos. No tenemos datos para poder llegar a esa conclusión. Para empezar no disponemos de históricos de sistemas de alta cadencia operativa anteriores a los mercados electrónicos. Por otro lado, simplemente por el hecho de realizar muchísimas más operaciones, un proceso estocástico tarda mucho menos tiempo en generar una movimiento tal que sea capaz de romper un sistema. Sería interesante compararlos en numero de trades necesarios para provocar la ruptura y no en tiempo, para poder comparar peras con peras y manzanas con manzanas.
Y esto es importante, así, sistemas con SQN alto implican f óptimas altas...sin embargo una f óptima alta NO implica un mayor Capital Final si a cambio tiene una máxima pérdida por operación alta...¡¡es el ratio f/L!! y como véis f está acotada entre 0 y 1 y L está en el denominador y no está acotada. Basta con que grafiquéis z=x/y con x acotada a [0,1] para que veáis cómo se comporta esa función y comprobaréis cómo la máxima pérdida por operación es un factor más importante que f (a la que si le afecta el % de aciertos) para componer el capital.
Capital Final=Capital Inicial*Productorio(1=1 hasta n)[1+(f/L)*Xi]
Siendo Xi la variable aleatoria de los resultados, f la fracción fija arriesgada del capital y L la pérdida máxima por operación.
Esto debería quedar zanjado de una vez.
Agma, tu planteas el debate en que los sistemas de alta frecuencia son menos robustos. No tenemos datos para poder llegar a esa conclusión. Para empezar no disponemos de históricos de sistemas de alta cadencia operativa anteriores a los mercados electrónicos. Por otro lado, simplemente por el hecho de realizar muchísimas más operaciones, un proceso estocástico tarda mucho menos tiempo en generar una movimiento tal que sea capaz de romper un sistema. Sería interesante compararlos en numero de trades necesarios para provocar la ruptura y no en tiempo, para poder comparar peras con peras y manzanas con manzanas.
Re: A Debate: Muchos Pocos vs. Pocos Muchos
eso se puede hacer con varios activos x operaciones en este tipos de sistemas, voy a ver si preparo algo y te lo expongo, saludos
La entrada te da la probabilidad y la salida la rentabilidad...
Re: A Debate: Muchos Pocos vs. Pocos Muchos
Roboco,
Bajo la premisa de que lo interesante es maximizar el Valor del Capital Final y que depende fundamentalmente de la perdida máxima, ¿Crees conveniente optimizar el Stop Loss?.
Te lo digo porque siempre que lo he hecho al comprobarlo sobre la parte fuera de muestra los resultados fueron peores que sin stop loss. No implica agregar un parámetro de suma importancia en el resultado final con grave peligro de sobreoptimización?.
Particularmente no los utilizo, bueno los utilizo en formato tiempo y no animo a nadie a que lo haga si no controla adecuadamente el tamaño de la posición.
Prefiero pensar en un riesgo por tiempo o para el conjunto del sistema, Value at risk, DD máximos, hacerlo por operación puede tendernos a optimizarlo y eso creo que entraña un peligro de sobreoptimización importante.
Saludos
Bajo la premisa de que lo interesante es maximizar el Valor del Capital Final y que depende fundamentalmente de la perdida máxima, ¿Crees conveniente optimizar el Stop Loss?.
Te lo digo porque siempre que lo he hecho al comprobarlo sobre la parte fuera de muestra los resultados fueron peores que sin stop loss. No implica agregar un parámetro de suma importancia en el resultado final con grave peligro de sobreoptimización?.
Particularmente no los utilizo, bueno los utilizo en formato tiempo y no animo a nadie a que lo haga si no controla adecuadamente el tamaño de la posición.
Prefiero pensar en un riesgo por tiempo o para el conjunto del sistema, Value at risk, DD máximos, hacerlo por operación puede tendernos a optimizarlo y eso creo que entraña un peligro de sobreoptimización importante.
Saludos
Re: A Debate: Muchos Pocos vs. Pocos Muchos
¿Dices que r es la media geométrica?.Gratphil escribió: La primera parte del interés compuesto Vf=Vi(1+r)^n, nos sirve de introducción para explicar qué es r en un sistema de trading, que es la media geométrica de su ámbito temporal y esto es lo que debemos procurar maximizar y luego someterlo a restricciones de riesgo que el lo que nos va a hacer sentir comodos. Por lo tanto te falta un parrafo antes de los puntos suspensivos.
https://wikmar.wordpress.com
Si quieres algo de privacidad, cuidado con las Nubes, que nadie ha conseguido todavía ponerles una puerta.
Si quieres algo de privacidad, cuidado con las Nubes, que nadie ha conseguido todavía ponerles una puerta.
Re: A Debate: Muchos Pocos vs. Pocos Muchos
Sí, coge un sistema y le aplicas fixed fractional o apalancamiento en función del equity y verás que r es la media geomética.Wikmar escribió:¿Dices que r es la media geométrica?.Gratphil escribió: La primera parte del interés compuesto Vf=Vi(1+r)^n, .....
Saludos
Re: A Debate: Muchos Pocos vs. Pocos Muchos
El interés compuesto no se formuló directamente para el trading, y r no es originalmente ninguna media de ningún tipo. No obstante, supongo que interpretas que en n (un año p. ej.), se han producido una serie de negocios, y adoptas una media de su rentabilidad para cogerla como r en n.Gratphil escribió:Sí, coge un sistema y le aplicas fixed fractional o apalancamiento en función del equity y verás que r es la media geomética.Wikmar escribió:¿Dices que r es la media geométrica?.Gratphil escribió: La primera parte del interés compuesto Vf=Vi(1+r)^n, .....
Saludos
Así a bote pronto, no sé si es completamente ortodoxo y para qué podría valer, pero para el asunto del hilo, que son múltiples debates sobre qué es preferible; si muchos pocos o pocos muchos, si en r van ya una serie de cantidades, ¿qué estudio quieres hacer con ellas?, ¿quieres de alguna forma saber si con el mismo sistema es mejor que hubiera menos o más negocios en el mismo n?, ¿o qué quieres hacer para sacar alguna conclusión MPs vs PMs?.
https://wikmar.wordpress.com
Si quieres algo de privacidad, cuidado con las Nubes, que nadie ha conseguido todavía ponerles una puerta.
Si quieres algo de privacidad, cuidado con las Nubes, que nadie ha conseguido todavía ponerles una puerta.
Re: A Debate: Muchos Pocos vs. Pocos Muchos
Es que para mí eso es lo vital, si la robustez digamos que a fin de cuentas será la consecución de los objetivos, en pocas palabras que todo lo que has planteado se represente, sea esto en el lado alto de la horquilla de previsión o en el lado bajo, ya podemos dar por robusto el estilo-sistema, ahora bien aunque el planteamiento del estilo-sistema matemáticamente sea correcto pero la robustez del proceso no sea realista, tenemos un problema grabe, ya que todo lo que hacemos no representara la realidad futura...y aquí es donde plantearía el debate de comparación e idoneidad de un proceso o otro...ROBOCO escribió:
Agma, tu planteas el debate en que los sistemas de alta frecuencia son menos robustos. Por otro lado, simplemente por el hecho de realizar muchísimas más operaciones, un proceso estocástico tarda mucho menos tiempo en generar una movimiento tal que sea capaz de romper un sistema..
Si nos marcamos por ejemplo una meta de rentabilidad a 5 años, quien va a encontrar mas piedras en el camino? indudablemente yo tengo mi punto de vista va a ser más fácil buscar sistemas de menos exposición al timing, vale que alguien que cree sistemas de alta carencia operativa deberá tener un proceso mucho mas dinámico en la gestión de los mismos, pero va a compensar al cabo de 5 años? yo creo que no, porque no es lo mismo la búsqueda de oportunidad sobre activos con sistemas muy robustos que la gestión de I+D sobre la dinámica de muchas operaciones, en el proceso que tengas para adaptar de nuevo el estilo pueden haber lagunas importantes de vuelta a empezar, tiempo, etc...y eso puede penalizar mucho la rentabililidad en el transcurso de tu meta temporal de rentabilidad. A parte de que vas a tener que ser muy bueno (de eso no me cabe duda por aquí), y eso es lo que me hace ver muy complicado un estilo de alta carencia operativa...
La entrada te da la probabilidad y la salida la rentabilidad...
Si te ha gustado este hilo del Foro, ¡compártelo en redes!