ya se empiezan a oir muchas voces, unas mas cualificadas ke otras, pero en definitiva muchas voces y opiniones de ke esto ya está, ke ya hemos hecho suelo y ke el rebote ke se está gestando podría llevarnos a máximos de nuevo.
Empieza a haber cierta confianza en algunos niveles, tmb se oye decir ke "entra dinero" , pues yo no veo ke entre dinero, sino ke el papel se esconde en determinados momentos, es decir, espera paciente y luego sale
Ke kereis ke os diga, yo no lo veo tan claro (de momento).
Si habeis leido posts anteriores recordareis el comentario del 10%, bien, ahí aproximadamente se pararon, unos índices incluso menos, pero aprox. todos han ido de la mano, vuelvo a repetir, caídas por debajo de ese porcentaje y rebasamiento de esos teóricos suelos, nos estarían cambiando la tendencia del medio plazo, ojo con el dato (como decía el butanito

).
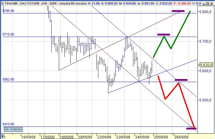
Vamos al grano, y ke mejor ke un par de gráficos para ilustrar lo ke no acabo de expresar del todo bien, todo ello, ni ke decir tiene ke son siempre opiniones muy personales, pero esta vez, casi con total seguridad
acertaré, y aún a riesgo de ser "lapidado" o pasar a engrosar la lista de "analistos obvios con dos salidas" es lo ke veo, así como hace unos días le daba mas posibilidades a las alzas y a un rebote, ahora estoy un 50% alcista y otro 50% bajista.
Por arriba, el primer objetivo claro y necesario son los 5.850-60 del contado y a partir de ahí los 5.950 kizá.
Por abajo, uy por abajo !! , rotura de mínimos podría implicar 5.300-350 y luego 5.115 (en letra, cinco mil ciento quince). Estos me salen por impulsos, por fibos, etc., etc., etc., kiere decir esto ke se harán? n.p.i. , pero ahí están, están sobretodo para ke en caso de ke llegaran os pueda decir, lo veis ! , ya os lo dije !

.
De momento en el dario del futuro éste ha ido a darle la mano a la m20, cosa muy normal y ke además la tenía muy descolgada, y ésta acto seguido le ha propinado una colleja ke lo ha mandado 100 pipos mas abajo

.
Por otro lado en el gráfico del índice, se puede observar tmb un posible doble top en el 76,4% de retroceso del segundo impulso bajista ke no consigue superar ni a empujones. En el índice hay divergencias bajistas en rsi, macd, y momentum (creo ke el stk es el único ke no tiene XD), no obstante, y según mi versión y visión de las divergencias, en este caso, no son de las ke mas me gustan, pues akí nos encontramos con un doble techo del precio ke no replican los indicadores sino ke la segunda onda en los indicadores es mas baja ke la primera , divergencia sí, pero mas light, para mí la mejor es cuando la segunda ola de los osciladores es mas baja y en cambio la segunda ola del precio es mas alta ke la primera.
En el futuro en diaro, el stk encima con el lateral se ha semi-sobrecomprado y cortando pabajo, por muy pokito de momento eso sí, pero con mucho recorrido a la baja, eso no suele ser bueno, al igual ke en periodos alcistas si en los laterales se sobrevende suele ser para subir mas; en el gráfico el macd es posible ke intentara acercarse a la línea 0, si ello sucediera podría ser kizá con niveles del futuro en 5.850 ke coincidiría con la medianera de las bollinger, es posible, y una vez allí a ver ke pasa. Esto claro, sería en la versión alcista o de continuación de rebote rompiendo el doble top ke hay de momento.
Una cosita mas, véanse las divergencias bajistas tanto de stk como de macd antes de la gran castaña en el diario, y eso.. ke claro se ve ahora !, pues no, se veían igual de claras antes de producirse la castaña, podemos creer en ellas o no, pero cuanto menos son indicios.
Bueno, ahí keda eso, el tiempo y el precio nos lo irán diciendo como siempre, ke sube.. compramos, ke baja... vendemos, sin problemas.
Saludos.
Si el mercado no te sonríe....
cuéntale un chiste XD