A Debate: Muchos Pocos vs. Pocos Muchos

El espacio de los traders quant: sistemas de trading, gestión monetaria, automatización de sistemas.
Avatar de Usuario
agmageton
Mensajes: 3674
Registrado: 30 Ene 2008 11:32

Re: A Debate: Muchos Pocos vs. Pocos Muchos

Mensaje por agmageton »

Haciendo un poco de valoración de la pequeña estadística esta, no puedo hacerla de más tiempo, una lástima¡¡

Podemos sacar ciertas conclusiones, no determinantes pero si nos dan pistas;

1º Aunque a priori un sistema de muchos pocos, por su elevado número de operaciones matemáticamente es mejor, en la estadística no se refleja ese efecto, de menor riesgo y más beneficio ajustado al riesgo, ya que si nos ceñimos al DD encontramos que los sistemas tendenciales son un 45% más eficientes en este apartado.

2º La proporción de ganadores(que están en positivo en lo que va de año) también es favorable a los tendenciales, no por mucho pero son casi 6 puntos mejores, aún teniendo una proporción mucho mayor de cta´s del orden de 3 veces más.

3º El debate, si nos ceñimos a la estadística o realidad lo ganan los pocos muchos (la estadística digamos que no es determinante por se de un año, aunque esta la industria representada), desde el punto de vista teórico lo ganan los muchos pocos, por lo que lo dejaría en tablas este pequeño estudio estadístico, porque uno se puede acoger a la teórica y otro a la realidad... :-D

saludos.
La entrada te da la probabilidad y la salida la rentabilidad...
Avatar de Usuario
Tiotino
Mensajes: 990
Registrado: 20 Sep 2004 18:22

Re: A Debate: Muchos Pocos vs. Pocos Muchos

Mensaje por Tiotino »

Hola a tod@s !!!

Lo que trasluce este post no son estadísticas de sistemas, sino todo lo contrario.

Q es mas factible para ti

1.- ser banca del casino

Esto es lo q sería, muchos pocos, ganar poco de muchos.
La ventaja es que este negocio es escalable, obtiene rendimientos constantes
la desventaja es la del cisne negro.

es vender una opción, ya no me acuerdo cual es el % de las opciones q vencen sin valor

2.- ser apostador
esto seria pocos muchos, ganar pocas veces mucho.
ganancia ilimitada, facilidad de construcción

la desventaja es que no es escalable por no saber el drawdownm, rendimientos variable

es comprar una opción

mi recomendación es ser banca del casino, mira todos los brokers que ganan dinero.

Mis sistemas obtienen fiabilidad de más del 60%, y si me ganan algo o quedan empate, yo ya muy contento :lol: :lol: :lol:
Un abrazo

Tiotino

https://tradingpython.blogspot.com.es

@tiotino
Avatar de Usuario
Wikmar
Mensajes: 3881
Registrado: 29 Sep 2010 00:01
Ubicación: Madrid

Re: A Debate: Muchos Pocos vs. Pocos Muchos

Mensaje por Wikmar »

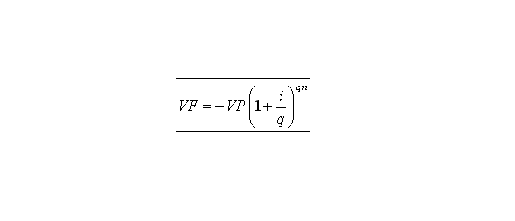
ROBOCO escribió: Lo de que el "muchos pocos" es mejor para el Money Management es evidente. La composición del retorno lleva el número de trades en el exponente...por lo que vosotros mismos.
Cuidadín, que ir en el exponente no significa aumento exponencial.

En este caso, siguiendo un desarrollo de Cagigas, y partiendo de la expresión del interés compuesto:
ic.gif
donde

VP Valor Presente del capital.
VF Valor Futuro del capital.
PMT Pago (salidas de capital). Las aportaciones al plan se introducen como cantidades negativas, y el dinero recibido, como positivas.
n nº de periodos compuestos.
i tasa de interés periódica.

Cuando los periodos de reinversión no coinciden con los de generación del interés, hay que modificar la ec. del Interés Compuesto con otros i y n, y PMT = 0. Si además queremos componer q veces el retorno obtenido en cada periodo n. El valor final del capital es:
VF.GIF
Si se lleva q al límite:
lim.GIF
Esto da esta curva del valor final en función del nº de veces que se compone (de la cantidad de muchos pocos):
asintota2.GIF
Lo cual quiere decir que llega un momento que aunque sigamos subiendo de cantidad de muchos, el beneficio practicamente no sube, y ya no tiene sentido. Además, las comisiones y deslizamientos empeoran los resultados bastante antes.

Es decir; los muchos pocos tienen un límite a partir del cual, es peor. Y por tanto, no conviene, y menos a nosotros, plantearse más que como un ejercicio de conocimiento, si es mejor una u otra opción de este asunto, porque lo mejor es que se nos ocurran sistemas con mentalidad abierta, bien de un tipo o de otro, se les pasa la trituradora de los ratios CON comisiones y deslizamientos, y si sale vivo,... ¡al lío! :D , y si no, al archivo (como tantos :cry: ).

ROBOCO escribió: Lo de que alta probabilidad de acierto es mejor para el Money Management...es falso a medias. Hay otro factor mucho más importante que es la "máxima pérdida por operación" (es decir la distancia al Stop Loss). Al final se convierte en un tema de equilibrio entre ambas, pero influye más la máxima pérdida por operación. Y como una reducida pérdida máxima se consigue, generalmente, sacrificando "porcentaje de acierto", pues vosotros mismos.
mmm,, cuidadín también, que hay algo en la fiabilidad que la hace muy deseable para "poder irte de vacaciones" (también a partir de las enseñanzas de Cagigas):

La probabilidad de ruina disminuye MUY deprisa al aumentar la fiabilidad:
tabla.gif
Fijaros en los escalonazos según aumenta la fiabilidad.

En este momento no voy a intentar una comparación matemática entre la pérdida máxima de las operaciones y la fiabilidad, entre otras cosas porque estoy casi extenuado de buscar la forma de que aparecieran las imágenes como imágenes en este mensaje, pero valga por lo menos la advertencia matemática comentada.
ROBOCO escribió: Lo de que "muchos pocos" implica una alta probabilidad de acierto es falso. Cualquier VBO intradiario de bajo Time frame tiene una probabilidad de acierto de menos del 50%. Es la distancia al Stop Loss o al cierre de la posición lo que te da la probabilidad de acierto.
Yo tengo mucha menos experiencia que el maestro, pero sin decir que "implica", sí puedo decir que me han salido sistemas de muchos pocos con alta fiabilidad ganadores (1), mucho más facilmente que tendenciales.

(1): ganadores sin comisiones y deslizs. Si metemos estos factores, los que he puesto en real han sido tendenciales y de reversión a la media, pero en ningún caso eran de muchas operaciones (de "muchos pocos" ). Las comisiones y deslizamientos han sido y son factor fundamental para la práctica, pero sin ellos, diría que sistemas de "muchos pocos" con alta probabilidad de acierto (fiabilidad), no son muy muy difíciles de conseguir.
            https://wikmar.wordpress.com
            Si quieres algo de privacidad, cuidado con las Nubes, que nadie ha conseguido todavía ponerles una puerta.
ROBOCO
Mensajes: 479
Registrado: 01 Nov 2007 17:09

Re: A Debate: Muchos Pocos vs. Pocos Muchos

Mensaje por ROBOCO »

Wikmar no tienes razón, créeme, sé bastante bien de lo que hablo, no es esa fórmula. No es algo que en determinados círculos esté sujeto a discusión. Te puedes creer lo que digo o no, es cosa tuya, pero es como lo he comentado. De hecho es un productorio sobre el número de trades. Y evidentemente el creciemiento es exponencial....no puede ser de otra manera

En la fórmula también viene la probabildad de acierto y la máxima pérdida por operación y ésta última va en el denominador.

A Cagigas no lo conozco, pero si afirma que la probabilidad de acierto afecta más que la máxima pérdida por operación, sencillamente está equivocado. ¿Qué tal si recurres a fuentes académicas para sacar conclusiones aceptadas?
Avatar de Usuario
X-Trader
Administrador
Mensajes: 13316
Registrado: 06 Sep 2004 10:18
Contactar:

Re: A Debate: Muchos Pocos vs. Pocos Muchos

Mensaje por X-Trader »

Roboco y Wikmar, muy interesante el debate matemático que estáis planteando. En particular, ¿podéis poner ambos fuentes de referencia completas (Cagigas, artículos académicos, etc.) para poder valorar y meterme en el debate? ;)

Saludos,
X-Trader
"Los sistemas de trading pueden funcionar en ciertas condiciones de mercado todo el tiempo, en todas las condiciones de mercado en algún momento del tiempo, pero nunca en todas las condiciones de mercado todo el tiempo."
ROBOCO
Mensajes: 479
Registrado: 01 Nov 2007 17:09

Re: A Debate: Muchos Pocos vs. Pocos Muchos

Mensaje por ROBOCO »

A ver,en el Trading hay muchas áreas sobre las que no hay "doctrina oficial" y es un poco como alquimia donde todo el mundo opina pero nadie puede sentar cátedra. Sin embargo el "Money Management" no es una de esas áreas. Aquí hay certezas matemáticas ¡¡desde hace 50 años!!

Cada dos por tres la gente opina sobre temas que están zanjados desde un punto de vista matemático. Lo que ocurre es que los artículos académicos no están hechos para que los lean la gente de la calle, sino para que lo hagan los "pares", por lo que resultan dificiles de comprender a aquellos que no tienen esa base matemática. Por todo ello, el trader termina leyendo a divulgadores, los cuales hacen una labor encomiable y simplifican el aprendizaje....pero a veces cometen errores. Si uno quiere formarse adecuadamente en Money Management tiene que ir a las fuentes académicas, no hay otra, hay que pasar por los artículos en "LaTeX"

Desde X-Trader se podría dejar una sección para aquellos artículos académicos de relevancia sobre todo lo que tenga que ver con el trading, pero especialmente en Gestión Monetaria y así superar este bucle infinito donde se tratan una y otra vez los mismos temas que en realidad ya están resueltos en otros círculos. El foro tendría una base conceptual común y se podría avanzar en las discusiones.
Avatar de Usuario
X-Trader
Administrador
Mensajes: 13316
Registrado: 06 Sep 2004 10:18
Contactar:

Re: A Debate: Muchos Pocos vs. Pocos Muchos

Mensaje por X-Trader »

ROBOCO escribió:A ver,en el Trading hay muchas áreas sobre las que no hay "doctrina oficial" y es un poco como alquimia donde todo el mundo opina pero nadie puede sentar cátedra. Sin embargo el "Money Management" no es una de esas áreas. Aquí hay certezas matemáticas ¡¡desde hace 50 años!!

Cada dos por tres la gente opina sobre temas que están zanjados desde un punto de vista matemático. Lo que ocurre es que los artículos académicos no están hechos para que los lean la gente de la calle, sino para que lo hagan los "pares", por lo que resultan dificiles de comprender a aquellos que no tienen esa base matemática. Por todo ello, el trader termina leyendo a divulgadores, los cuales hacen una labor encomiable y simplifican el aprendizaje....pero a veces cometen errores. Si uno quiere formarse adecuadamente en Money Management tiene que ir a las fuentes académicas, no hay otra, hay que pasar por los artículos en "LaTeX"

Desde X-Trader se podría dejar una sección para aquellos artículos académicos de relevancia sobre todo lo que tenga que ver con el trading, pero especialmente en Gestión Monetaria y así superar este bucle infinito donde se tratan una y otra vez los mismos temas que en realidad ya están resueltos en otros círculos. El foro tendría una base conceptual común y se podría avanzar en las discusiones.
Me parece una idea acertada y es algo que tengo en mente desde hace tiempo, a ver si logro encontrar el hueco y me pongo con ello (se me amontona el trabajo). Mientras tanto, si subes alguna aportación de los artículos escritos con LaTeX en relación a este tema sabes que yo lo apreciaré y mucho ;)


Saludos,
X-Trader
"Los sistemas de trading pueden funcionar en ciertas condiciones de mercado todo el tiempo, en todas las condiciones de mercado en algún momento del tiempo, pero nunca en todas las condiciones de mercado todo el tiempo."
ROBOCO
Mensajes: 479
Registrado: 01 Nov 2007 17:09

Re: A Debate: Muchos Pocos vs. Pocos Muchos

Mensaje por ROBOCO »

Te pongo un listado realizado por Martin Sewell

http://finance.martinsewell.com/money-management/

Luego está el fantástico libro de MacLean, Thorp y Ziemba con una recopilación de los artículos más importantes (algunos se solapan con los anteriores)



Buenos libros:




Evidentemente todo esto es "abrumador" si se plantea a corto plazo, hay algunos artículos ininteligibles salvo que seas matemático especializado en estadística, pero las conclusiones son correctas. Así que recomiendo mucha paciencia, entender lo que nos cuentan, ir entendiendo cómo funciona la composición del retorno y su relación con el trading, cómo se obtiene el criterio de Kelly y como se deriva de él la f óptima, cómo afecta esto a los portfolios, el Volatility pumping, los "Constant Rebalanced Portfolios", algoritmos de rebalanceo, etc.

Una buena idea es ir haciendo un resumen con lenguaje y explicaciones que podamos entender...sólo es cuestion de echarle horas y horas. Lo que termina ocurriendo es que váis a comprobar cómo algunos artículos sobre gestión monetaria escritos por divulgadores que circulan por ahí o son inexactos o el autor no domina del todo la materia... Evidentemente esto se multiplica en los foros.

Sin embargo, el Money Management es de lo poco en el mundo del trading de lo que hay certezas...lo que no hay es comida gratis. Formarse adecuadamente cuesta mucho tiempo y esfuerzo, depende de cada uno....
Avatar de Usuario
Wikmar
Mensajes: 3881
Registrado: 29 Sep 2010 00:01
Ubicación: Madrid

Re: A Debate: Muchos Pocos vs. Pocos Muchos

Mensaje por Wikmar »

ROBOCO escribió:A Cagigas no lo conozco, pero si afirma que la probabilidad de acierto afecta más que la máxima pérdida por operación, sencillamente está equivocado. ¿Qué tal si recurres a fuentes académicas para sacar conclusiones aceptadas?
Nadie ha afirmado eso de momento. Cagigas hace ver la fuerte dependencia inversa de la probabilidad de ruina frente a la fiabilidad, y yo lo he puesto en una hoja de cálculo. Esa dependencia inversa es un hecho matemático.

Y yo digo que si interesa, se podría intentar balancear también matemáticamente, qué pesa más. Desde luego, la fiabilidad se ve que pesa bastante.

ROBOCO escribió:Wikmar no tienes razón, créeme, sé bastante bien de lo que hablo, no es esa fórmula. No es algo que en determinados círculos esté sujeto a discusión. Te puedes creer lo que digo o no, es cosa tuya, pero es como lo he comentado. De hecho es un productorio sobre el número de trades. Y evidentemente el creciemiento es exponencial....no puede ser de otra manera

En la fórmula también viene la probabildad de acierto y la máxima pérdida por operación y ésta última va en el denominador.
X-Trader escribió:Roboco y Wikmar, muy interesante el debate matemático que estáis planteando. En particular, ¿podéis poner ambos fuentes de referencia completas (Cagigas, artículos académicos, etc.) para poder valorar y meterme en el debate? ;)

Saludos,
X-Trader
Bueno, yo he puesto la base matemática. A mí me convence. Faltaría por parte de ROBOCO decir porqué esa formulación no es válida y poner la que considera buena, con una petición, porque además los dos tenéis una cualidad; sois buenísimos compiladores, sistematizadores y divulgadores de información técnica. Cogéis información dispersa y tecnicamente complicada, y producís artículos con muy buena información sistematizada, ordenada, y simplificada tecnicamente.

Si ROBOCO pudiera poner la que considera buena formulación con esa premisa, sería estupendo, y decir porqué no vale la otra, no vaya a ser que sean equivalentes.

Y digo más sobre el asunto en cuestión; esa curva asintótica que dibujé, es generosa con la tésis "muchos pocos". Para cada rentabilidad o interés, hay una curva, que según aumenta este factor, la curva se aplana... es decir; según pudiera parecer interesar componer negocios por rentabilidad, será que no...

Al final, por interpretación de resultados matemáticos, creo que se obtendrán situaciones de interés, sobre todo con comisiones y gastos, alrededor entre uno y cuatro negocios diarios, con media en 2, si llega. Lo cual coincide con mi verdaderamente pequeña experiencia práctica.
            https://wikmar.wordpress.com
            Si quieres algo de privacidad, cuidado con las Nubes, que nadie ha conseguido todavía ponerles una puerta.
ROBOCO
Mensajes: 479
Registrado: 01 Nov 2007 17:09

Re: A Debate: Muchos Pocos vs. Pocos Muchos

Mensaje por ROBOCO »

Wikmar, las referencias bibliográficas ya las he dejado en el post anterior, ahí puedes bucear todo lo que quieras.

Lo que voy a hacer es explicarlo para que todo el mundo lo vea.

1.-En la composición del retorno sobre un juego que tiene ventaja el capital final se construye a partir de los capitales precedentes (de ahí se genera un productorio, el cual si lo tratamos como continuo me genera una exponencial). Cuantos más veces realices la operación,más compones y más se incrementa el capital. Al final da igual que tengas "x" operaciones ganadoras y "y" perdedoras, porque lo que importa es que la media (geométrica) del conjunto sea mayor a 1. De esta manera, si tengo ventaja, lo que quiero por encima de todo es hacer cuantos más trades mejor.

2.-Pero el Capital Final depende de más cosas, en concreto de cuanto de ese capital estoy arriesgando. El riesgo lo introduces referido a la máxima pérdida "L" que te puede ocurrir, de tal forma que en caso de que suceda pierdas una fracción "f" de tu capital. De ahí que se ponga f/L

¿Qué es lo que ocurre en el trading?, pues que un porcentaje de aciertos elevado implica, casi necesariamente (si aproximamos la distribución de los precios a una Log-normal, que para el caso se puede aceptar), una distancia de la máxima pérdida por operación más lejos que el Target Profit o la salida de la estrategias, o lo que es lo mismo un Ratio Win/Loss bajo.

Así que un alto porcentaje de aciertos implica un Stop Loss alejado, es decir una L grande. Para componer el retorno con una fracción fija de riesgo, como hemos dicho, el capital disponible para subir de contratos depende de esa L, en concreto el capital por contrato para un Fixed Fraction (y por tanto para la f óptina) se obtiene de dividir dicha pérdida máxima entre la fracción a arriesgar. Si L es grande, el capital que necesitas para subir de contrato es tan elevado que no puedes componer los retornos hasta que no han pasado muchísimos trades.

Es por todo esto que lo que mejor viene al MM es en primer lugar una alta cadencia operativa, para tener muchos trades. En segundo lugar una baja pérdida máxima por operación y ya en tercer lugar se puede hablar de que un alto porcentaje de aciertos es preferible. Por esta razón, las típicas estrategias de multiposicionamiento de Mean Reversion en base diaria, con porcentajes de acierto del 80% y profit factors >5 no son buenas para el Money Management, porque tienen una máxima pérdida por operación muy elevada y una baja cadencia...da igual el porcentaje de aciertos.

Espero que se hayan aclarado algunas dudas
Avatar de Usuario
Tiotino
Mensajes: 990
Registrado: 20 Sep 2004 18:22

Re: A Debate: Muchos Pocos vs. Pocos Muchos

Mensaje por Tiotino »

ROBOCO escribió: Es por todo esto que lo que mejor viene al MM es en primer lugar una alta cadencia operativa, para tener muchos trades. En segundo lugar una baja pérdida máxima por operación y ya en tercer lugar se puede hablar de que un alto porcentaje de aciertos es preferible.
de acuerdo, solo le falta poner q gane y sea consistente
ROBOCO escribió: Por esta razón, las típicas estrategias de multiposicionamiento de Mean Reversion en base diaria, con porcentajes de acierto del 80% y profit factors >5 no son buenas para el Money Management, porque tienen una máxima pérdida por operación muy elevada y una baja cadencia...da igual el porcentaje de aciertos.

desde cuando un mean-reversion tiene una pérdida por operación muy elevada y una baja cadencia ? :?: :?:

yo suelo operar +-2 desviaciones a la media, stop loss 1 desviacion

opero en muchos timeframes, mercados, etc,, es el mismo sistema te lo juro

sera con un profit factor por debajo no se cuanto

viewtopic.php?t=12569 :roll:

:roll:
Un abrazo

Tiotino

https://tradingpython.blogspot.com.es

@tiotino
Avatar de Usuario
Tiotino
Mensajes: 990
Registrado: 20 Sep 2004 18:22

Re: A Debate: Muchos Pocos vs. Pocos Muchos

Mensaje por Tiotino »

pongo una equity a modo de ejemplo de alta probabilidad y ratio 1:1

viewtopic.php?f=9&t=17600&p=197820&hili ... no#p197820
Un abrazo

Tiotino

https://tradingpython.blogspot.com.es

@tiotino
Avatar de Usuario
cls
Mensajes: 1352
Registrado: 24 May 2007 18:46
Contactar:

Re: A Debate: Muchos Pocos vs. Pocos Muchos

Mensaje por cls »

Da gusto leerte ROBOCO. Claro y directo al grano. Gracias por tus intervenciones.
Prodígate más hombre. :D

(Por cierto X-Trader, lo de la reputación parece que no está funcionando)
Avatar de Usuario
Síntesis
Mensajes: 229
Registrado: 17 Ago 2014 00:06

Re: A Debate: Muchos Pocos vs. Pocos Muchos

Mensaje por Síntesis »

Wikmar escribió:
ROBOCO escribió: Lo de que el "muchos pocos" es mejor para el Money Management es evidente. La composición del retorno lleva el número de trades en el exponente...por lo que vosotros mismos.
Cuidadín, que ir en el exponente no significa aumento exponencial.

En este caso, siguiendo un desarrollo de Cagigas, y partiendo de la expresión del interés compuesto:
El adjunto ic.gif ya no está disponible
donde

VP Valor Presente del capital.
VF Valor Futuro del capital.
PMT Pago (salidas de capital). Las aportaciones al plan se introducen como cantidades negativas, y el dinero recibido, como positivas.
n nº de periodos compuestos.
i tasa de interés periódica.

Cuando los periodos de reinversión no coinciden con los de generación del interés, hay que modificar la ec. del Interés Compuesto con otros i y n, y PMT = 0. Si además queremos componer q veces el retorno obtenido en cada periodo n. El valor final del capital es:
El adjunto VF.GIF ya no está disponible
Si se lleva q al límite:
El adjunto lim.GIF ya no está disponible
Esto da esta curva del valor final en función del nº de veces que se compone (de la cantidad de muchos pocos):
El adjunto asintota2.GIF ya no está disponible
Lo cual quiere decir que llega un momento que aunque sigamos subiendo de cantidad de muchos, el beneficio practicamente no sube, y ya no tiene sentido. Además, las comisiones y deslizamientos empeoran los resultados bastante antes.

Es decir; los muchos pocos tienen un límite a partir del cual, es peor. Y por tanto, no conviene, y menos a nosotros, plantearse más que como un ejercicio de conocimiento, si es mejor una u otra opción de este asunto, porque lo mejor es que se nos ocurran sistemas con mentalidad abierta, bien de un tipo o de otro, se les pasa la trituradora de los ratios CON comisiones y deslizamientos, y si sale vivo,... ¡al lío! :D , y si no, al archivo (como tantos :cry: ).

ROBOCO escribió: Lo de que alta probabilidad de acierto es mejor para el Money Management...es falso a medias. Hay otro factor mucho más importante que es la "máxima pérdida por operación" (es decir la distancia al Stop Loss). Al final se convierte en un tema de equilibrio entre ambas, pero influye más la máxima pérdida por operación. Y como una reducida pérdida máxima se consigue, generalmente, sacrificando "porcentaje de acierto", pues vosotros mismos.
mmm,, cuidadín también, que hay algo en la fiabilidad que la hace muy deseable para "poder irte de vacaciones" (también a partir de las enseñanzas de Cagigas):

La probabilidad de ruina disminuye MUY deprisa al aumentar la fiabilidad:
El adjunto tabla.gif ya no está disponible
Fijaros en los escalonazos según aumenta la fiabilidad.

En este momento no voy a intentar una comparación matemática entre la pérdida máxima de las operaciones y la fiabilidad, entre otras cosas porque estoy casi extenuado de buscar la forma de que aparecieran las imágenes como imágenes en este mensaje, pero valga por lo menos la advertencia matemática comentada.
ROBOCO escribió: Lo de que "muchos pocos" implica una alta probabilidad de acierto es falso. Cualquier VBO intradiario de bajo Time frame tiene una probabilidad de acierto de menos del 50%. Es la distancia al Stop Loss o al cierre de la posición lo que te da la probabilidad de acierto.
Yo tengo mucha menos experiencia que el maestro, pero sin decir que "implica", sí puedo decir que me han salido sistemas de muchos pocos con alta fiabilidad ganadores (1), mucho más facilmente que tendenciales.

(1): ganadores sin comisiones y deslizs. Si metemos estos factores, los que he puesto en real han sido tendenciales y de reversión a la media, pero en ningún caso eran de muchas operaciones (de "muchos pocos" ). Las comisiones y deslizamientos han sido y son factor fundamental para la práctica, pero sin ellos, diría que sistemas de "muchos pocos" con alta probabilidad de acierto (fiabilidad), no son muy muy difíciles de conseguir.
Yo pensaba que la formula del interes compuesto era
CF=Ci(1+r)^n, siendo

CF= Capital Final
Ci=Capital inicial
r= tasa de interés
n= numero de periodos y un numero entero mayor de cero

No me acuerdo muy de como se hacian los limites, creo que era n.Ci.(1+r)= infinito. Aunque por sentido comun si n= infinito, infinito por Ci(1+r) = infinito, ya que Ci(1+r) es mayor que uno.

La grafica de la funcion (no del limite) es la grafica de una funcion exponencial siendo n un numero entero y Ci (1+r) un numero mayor que 1 ya que Ci es mayor que 1 y 1+r mayor que uno. Como Ci>>1+r podemos decir que Ci(1+r) es aproximadamente igual a k, siendo k un numero mayor 1. Por ejemplo para k=10 la grafica que nos sale es seria k^n
grafica exponencial.PNG
Que como se puede apreciar el crecimiento exponencial de esta funcion no tiene ningun tope o desaceleración en el crecimiento ya que el exponente es simplemente un numero entero mayor que cero.

No se, si me equivoco en algo corregirme.

Saludos.
El fin NO justifica los medios.
ROBOCO
Mensajes: 479
Registrado: 01 Nov 2007 17:09

Re: A Debate: Muchos Pocos vs. Pocos Muchos

Mensaje por ROBOCO »

Tiotino, ¿puedes poner estadísticas de unos cuantos años de un sistema con alta cadencia operativa (>150 ops/año), alto % de aciertos, un ratio Win/Loss elevado y que tenga un stop Loss ajustado?, esto último del Stop Loss es muy importante, porque es necesario saber donde cerrarías la operación y no que ese riesgo no se haya manifestado en el backtest. Esto es una cosa de la que hable en la conferencia de OQM del año pasado. Hay gente que se hace un lío tremendo con los backtest (no digo para nada que sea tu caso) y si el riesgo máximo es un suceso improbable porque el stop loss esté muy alejado o porque no lleve Stop Loss (directamente), ocurre que en el backtest no aparece dicho evento, lo que no quiere decir que no pueda producirse y por tanto se habla de "Riesgos ocultos".
Tiotino, si tienes una estrategia como la de la pregunta, ya esta, no busques más, eso es el Santo Grial.

cls, gracias por tus palabras.

¿alguien se ha dado cuenta de qué tipo de ratios estadísticos se necesitan para optimizar el Money Management entonces?,
Lo que se necesitan son curvas de equity muy suaves, con poca desviación estandar, muchos trades (muy granulares). La pendiente es lo de menos, no consigues la rentbilidad con la esperanza matemática de la estrategia sino con la aplicación del MM sobre una curva suave. Por eso se busca maximizar ratios como el SQN y dan igual otros como el Profit Factor, como muy bien dijo bolsa1 en el post de Tiotino. El ideal es que la curva sea lo más recta posible, con coeficiente de determinación R2 cercano a 1, aunque de una rentabilidad ridícula a lo largo del año, porque lo que haces es usar el MM para potenciarlo. Buscas los objetivos de forma exponencial y no de forma lineal.

Ahora bien, las instituciones no pueden usar MM (como los CTA) de la forma que lo hace un particular, por lo que tienen que diseñar los portfolios de una forma distinta y ahí si que entran en juego otros muchos ratios que pueden ser preferibles. Como véis son los objetivos y las necesidades concretas de cada caso las que obligan a diseñar las estrcuturas de inversión de una forma u otra.
Si te ha gustado este hilo del Foro, ¡compártelo en redes!


Responder

Volver a “Sistemas de Trading”